Control Theory and Technology
Control Theory and Technology @CTT_Journal ·
[Series 3 | Nonlinear, Robust & Adaptive Control | #9] #EventTriggered #RobustControl #Uncertainty #NonlinearControl 🎯🧩 Can a single dynamic gain handle multiple uncertainties in nonlinear time-delay systems? This work develops an event-triggered output-feedback controller thlation despite unknown parameters and sensitivity uncertainties. 🧐🧐🧐 Title: Output feedback control of nonlinear time-delay systems with multiple uncertainties via an event-triggered strategy Authors: Weiyong Yu, Qi Chen, Hongbing Zhou, Xiang An & Qiang Liu Full Trdcu.be/el6NM0fwSH
5
WEVJ
WEVJ @MdpiWevj ·
🚗⚙️ Notable WEVJ paper (2024) A robust barrier-function-based controller for steer-by-wire systems, improving safety and reliability in electric vehicles. �brnw.ch/21wZ1f7RK #ElectricVehicles #SteerByWire #RobustControl #WEVJ
Design of a Robust Controller Based on Barrier Function for Vehicle Steer-by-Wire Systems

In this research paper, a recent robust control scheme was proposed and designed for a VSbW (vehicle steer-by-wire) system. Using an integral sliding mode control (ISMC) design based on barrier...

From mdpi.com
4
Control Theory and Technology
Control Theory and Technology @CTT_Journal ·
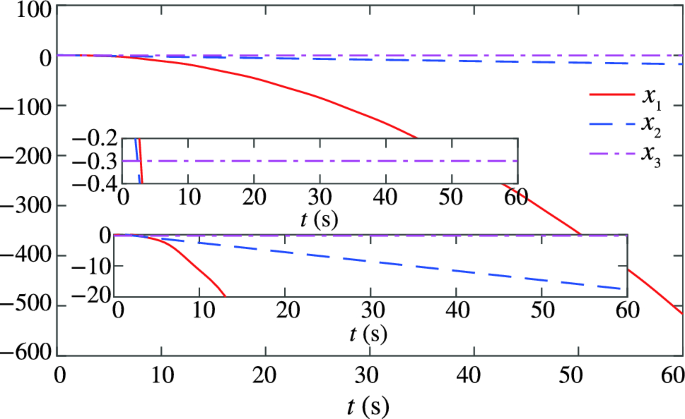
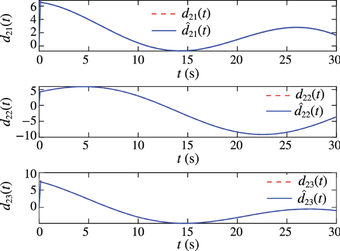
📘 Robust & Nonlinear Control under Uncertainty CTT Regular Issues 2023–2024 – Part II: Advanced Control Theory and Methods #RobustControl #NonlinearSystems #AdaptiveControl #AerospaceControl This set of papers addresses robust control of nonlinear systems subject to uncs, and structural complexities, with a focus on achieving reliable regulation and tracking performance. 🔹 Trajectory tracking anti-disturbance control for unmanned aerial helicopter based on disturbance characterization index Trajectory tracking anti-disturbance control for unmanned aerial helicopter based on disturbance characterization index (Chen et al., 2023) Develops disturbance-aware tracking control for nonlinear UAH systems, combining feedback linearization, finite-time disturbance observers, and backstepping-based design. 🔗 Full Texrdcu.be/eMSNduSh 🔹 Precision attitude regulation of uncertain flexible spacecraft Precision attitude regulation of uncertain flexible spacecraft (Wu et al., 2023) Presents an adaptive internal model–based controller for flexible spacecraft, enabling asymptotic attitude regulation and vibration suppression under structured disturbances. 🔗 Full Trdcu.be/eMSOI43thE 🔹 Robust non-aggressive three-axis attitude control of spacecraft: dynamic sliding mode approach Robust non-aggressive three-axis attitude control of spacecraft: dynamic sliding mode approach (Nikyar et al., 2023) Combines dynamic sliding mode control with predictive control ideas to mitigate chattering while maintaining robust spacecraft attitude tracking. 🔗 Fullrdcu.be/dtQxrxIxoYsv 🔹 Adaptive feedback control for nonlinear triangular systems with uncertain dead-zone input (Adaptive feedback control for nonlinear triangular systems with uncertain dead-zone input (Feng et al., 2023) Proposes adaptive state feedback strategies to handle unknown dead-zone nonlinearities and growth rates without explicit inverse construction. 🔗 Furdcu.be/dsiseNj3sW0zl5 🔹 Global output feedback control of feedforward nonlinear time-delay systems with unknown growth rate and unknown measurement sensitivity Global output feedback control of feedforward nonlinear time-delay systems with unknown growth rate and unknown measurement sensitivity (Yu et al., 2024) Addresses global regulation of feedforward nonlinear time-delay systems using dynamic gain scaling and Lyapunov–Krasovskii methods under measurement uncertainty. 🔗 rdcu.be/dxhba/6lt8d7maZy ✨These studies illustrate how structural system properties and adaptive techniques can be leveraged to achieve robust control in complex nonlinear settings.
30