Search

Pharmacists are calling for a vaccine catch up service to be rolled out for teenagers to address falling immunisation rates in Britain.
From news.sky.comFree meningitis jabs are available to Cayman students returning to the islands for the Easter break, the Public Health Department has said
From caymancompass.com
Redacción Ciencia, 28 mar (EFE).- En 2023, 259.000 personas fallecieron a causa de la meningitis en todo el mundo y 2,5 millones de personas contrajeron la ...
From rnn.com.doSpeed is of the essence in recognising and treating invasive meningococcal disease, of which there is an outbreak in young people in Kent caused by group B meningococcus bacteria (MenB). Emma...
From bmj.com


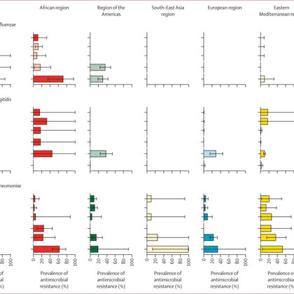
Treatment of bacterial meningitis is challenged by a rise of antimicrobial-resistant pathogens, particularly affecting patients in LMICs where access to effective treatment might be limited. Our...
From thelancet.com

Kent meningitis outbreak passes peak — no new cases this week. MOMA porridge and Hibiwash recalled. Energy bills fall 7% from 1 April. Clocks go forward Sunday.
From ukprepperhub.co.uk