Huge congratulations to everyone who crunched the numbers and took part. A massive well done to our student winners! 🏆
P.S. A special shoutout to Miss McCracken for proving her skills and taking home the Staff Puzzle win! 🧠✨
#WorldMathsDay #MathsIsFun #ProblemSolverKm
There are loads of ways to bring Maths to life on your school’s walls;
➕Maths Stairwell
➕Maths Timeline Wall Display
➕Celebrate famous Mathematicians
➕Show the fun side of maths with Mathematical illusions
More ideas: tinyurl.com/muedcvt9#WorldMathsDay#MathsIsFun
Maths just got a Wonka-style makeover!
Marvellous Maths features 3 splendiferous card games based on Charlie and the Chocolate Factory. Race for Golden Tickets and master those numbers the Roald Dahl way!
Grab a set: wickeduncle.co.uk/childrens-pres…#WickedUncle#RoaldDahl#MathsIsFun
Daniel Bernoulli, Leibniz, Stirling, de Moivre and others.
In 1734, at the age of 28, Leonhard Euler stunned the mathematical world by proving that the sum equals π²/6.
#MathsIsFun#mathematics
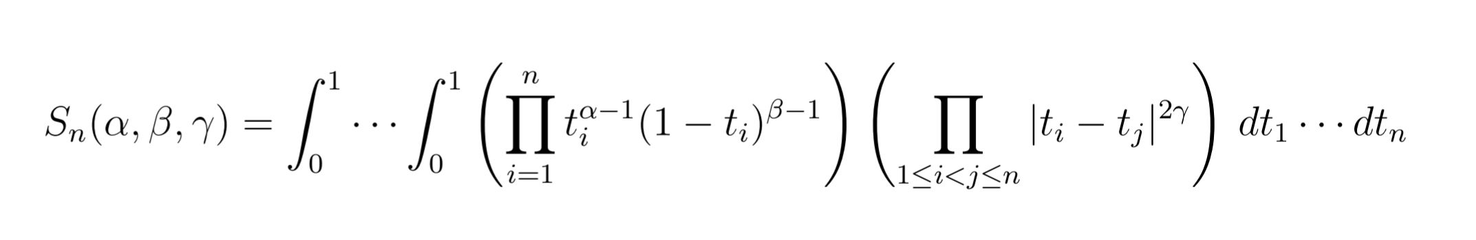
My short proof for the famous ' Selberg Integral' is based on a classical and elegant idea.
It is an important integral because it belongs to a famous family with deep connections across analysis, special functions, probability, and mathematical physics.
#MathsIsFun#Mathematics#weekend