SparkEd Maths
SparkEd Maths @Sparkplug2683 ·
Unpopular opinion: textbooks are the problem. UP में धार्मिक स्थलों का विकास हो रहा है, वैसे ही हमारे मैथ्स स्किल्स का भी! बेसिक अलजेब्रा से लेकर Algebraic Identities में मास्टरी तक, हर कदम पर विकास ज़रूरी है। आस्था मैथ्स में, विकास स्कोर्स में! 😉 #UPPilgrimageEconomy #AlgebraR
2
t-rev
t-rev @JaskotTrevor ·
Thought of the day! Algorithmic neural networks are built on matrices and linear algebra. Quite literally why computers have to think in parallel to mimic human thought response. Hence gpu rendering instead of cpu. #gpu #algebra #ai #algortihm
12
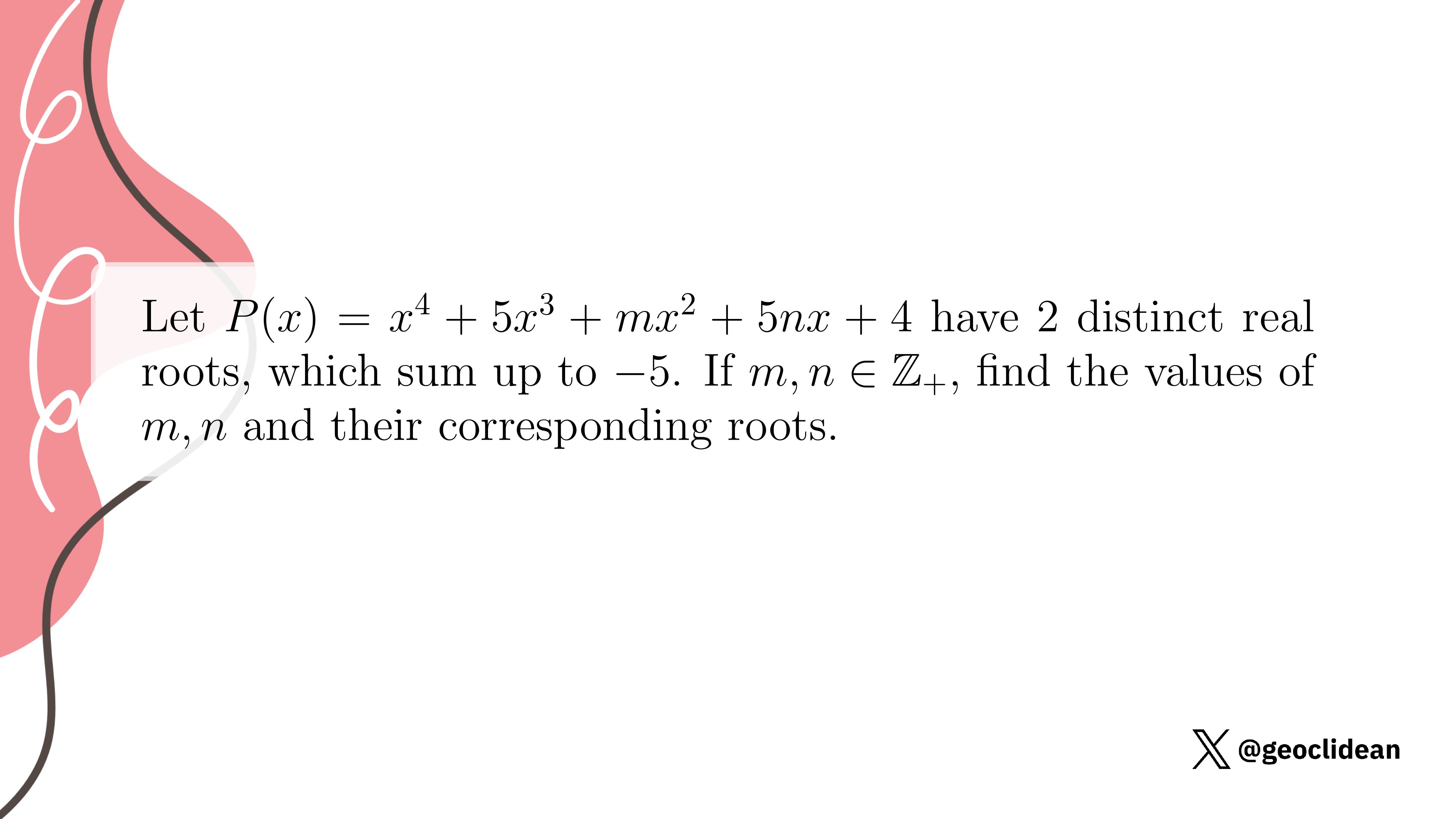
Geoclidean
Geoclidean @geoclidean ·
(x + y)(y + z)(z + x)/{xyz} if (x+ y}/z=(y + z)/x=(z + x)/y #Algebra
1
2
163