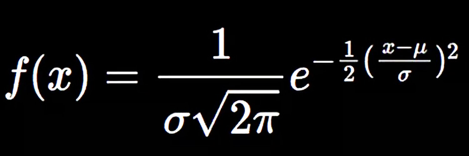
Max Likelihood

Max Likelihood

@PoulardMere

Biostatistico e scettico di professione, con metodi ai più sconosciuti risolvo problemi che non sapevate di avere - Real statisticians don't do it in excel

Joined August 2022