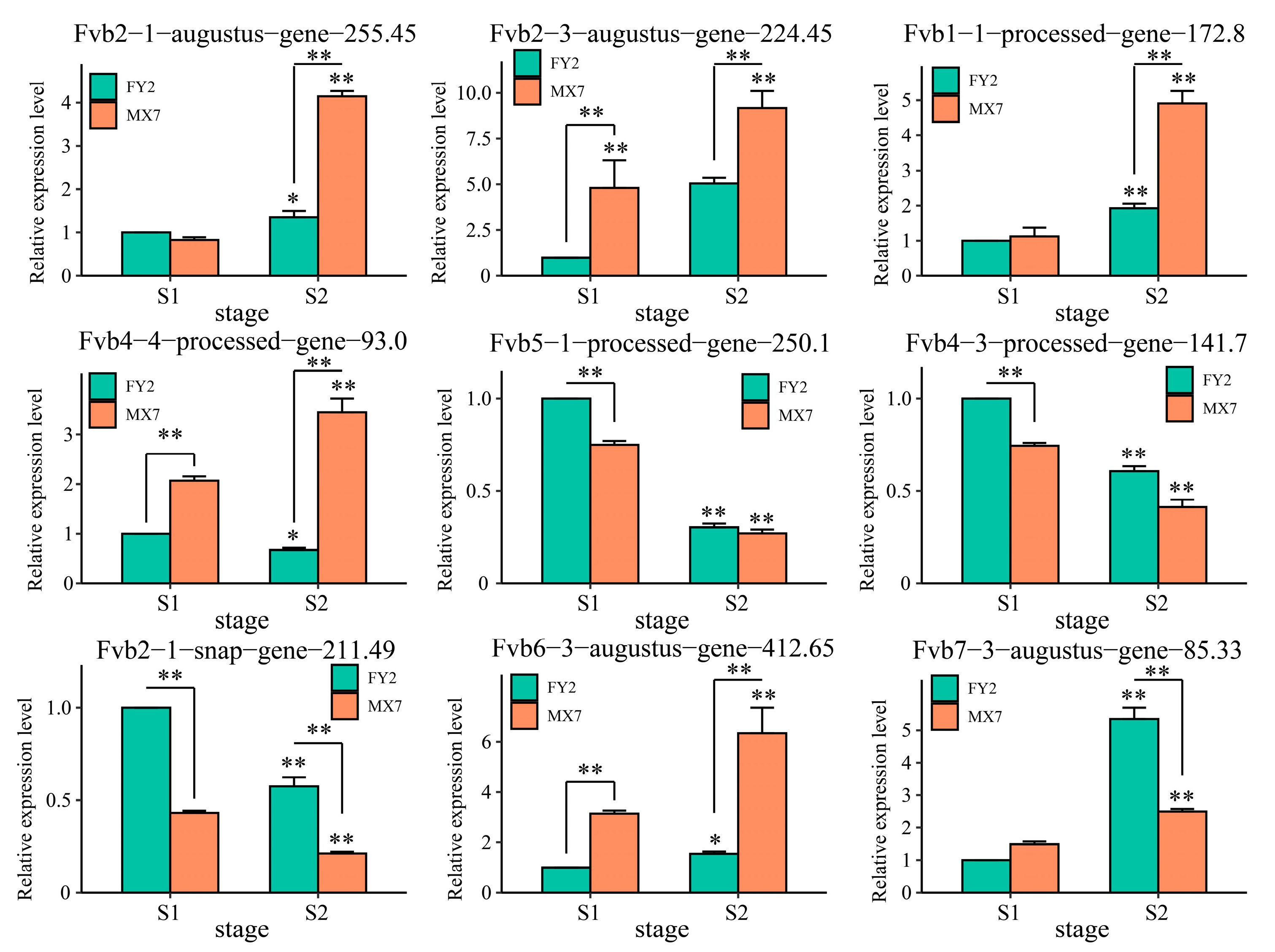
Dr. Ren et al.’s study deepens our understanding of the molecular mechanisms governing the color transformation in #strawberry flesh and identifies novel #genetic resources that can be instrumental in advancing research related to strawberry #color change.
mdpi.com/2073-4425/15/1…
14





