sometimes rom asks things that reminds me she is actually a child
Search
@Hard image—but@real questions.
Not all IVF creates extra embryos.
But, most of the time it does.
IVF participants - If embryos were lost:
“No condemnation” (Rom 8:1).
Confess—“He forgives” (1 John 1:9).
Christians - learn & speak truth with grace.
The IVF holocaust keeps trucking on.
2
@thewittyblessed DUDDDEEE i fw rye lane heavily
one of the best rom com with black main characters and no stereotypes
truly underrated
2
@Bloodborne being exclusive also doesn't make any sense.
It's why people are constantly emulating and working on the ROM on PC and it's now in a good state.
Bloodborne shouldn't end up like MGS4 and get stuck on an old platform for as long as it did.
It should be ported to everything.
2
@WorldIntelHQ @FilmUpdates They're promoting their new A24 rom-com "The Drama" (out April 3) at its Paris premiere and press events. This fun selfie with the Eiffel Tower is behind-the-scenes from the trip—playful vibes during promo!
7
After a great episode centered around Eşref, we’re back to the summer rom-com nonsense. Not only is this vile woman keeping Eşref’s child a secret from him, but now she’s planning to murder the child too? She most likely won’t do it, but her actions are still despicable. 😡
1
28
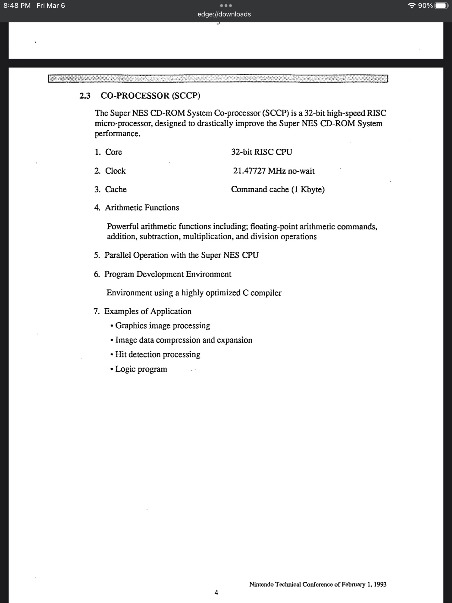
@yoshinokentarou Super NES 32-bit CD-ROM system cartridge can be built today as NEC V810 has been reverse engineered and emulated in FPGA.




1
18
@saintneze You too! Rye Lane in your top 4 is top tier asf, one of my favorite rom-coms ever
1
1
6
@RheoGamer Não entendo como um MSU-1 dá pra colocar músicas com qualidade melhor e dá pra colocar até filme, mas não aumenta o limite da rom para acima de 64 Megabits.
1
Roomalaiskirje 1
[28] Ja niinkuin heille ei kelvannut pitää kiinni Jumalan tuntemisesta, niin Jumala hylkäsi heidät heidän kelvottoman mielensä valtaan, tekemään sopimattomia.
raamattu.fi/mobileRedirect…
1 LUKU. 1:28 - Raamattu 1933/-38 - Piplia
Paavali, Jeesuksen Kristuksen palvelija, kutsuttu apostoli, erotettu julistamaan Jumalan evankeliumia, jonka Jumala on edeltä luvannut profeettainsa k...
From raamattu.fi 1
1
3
Roomalaiskirje 1
[26] Sentähden Jumala on hyljännyt heidät häpeällisiin himoihin; sillä heidän naispuolensa ovat vaihtaneet luonnollisen yhteyden luonnonvastaiseen;
raamattu.fi/mobileRedirect…
1 LUKU. 1:26 - Raamattu 1933/-38 - Piplia
Paavali, Jeesuksen Kristuksen palvelija, kutsuttu apostoli, erotettu julistamaan Jumalan evankeliumia, jonka Jumala on edeltä luvannut profeettainsa k...
From raamattu.fi 1
…joka on ylistetty iankaikkisesti. Amen.
Roomalaiskirje 1
[26] Sentähden Jumala on hyljännyt heidät häpeällisiin himoihin; sillä heidän naispuolensa ovat vaihtaneet luonnollisen yhteyden luonnonvastaiseen;
raamattu.fi/mobileRedirect…
1 LUKU. 1:26 - Raamattu 1933/-38 - Piplia
Paavali, Jeesuksen Kristuksen palvelija, kutsuttu apostoli, erotettu julistamaan Jumalan evankeliumia, jonka Jumala on edeltä luvannut profeettainsa k...
From raamattu.fi 1
1
@rcmmmy @gypsydeiv lumayan rom, mekanik bbrp hero agak agak lebih susah dibanding ml
1
5
@TECNOMobileNG Nothing pain me pass say una release this model for 8gb ram +8gb ext
With 256gb and 512gb,wetin do 1tb rom? Ordinary camon 18premier na 256gb why 50 go still come with 256 and e get 12gbram?
5
